
고분자 수지의 Tg, Tm, Tc 분석
다양한 탄소소재의 비열 분석
Transitions Temperature & Enthalpy
- 용융온도 (Melting temperature)
- 결정화 온도 (Crystallization Temperature)
- 용융 엔탈피 (Melting Enthalpy)
- 유리전이온도 (Glass Transition Temperature)
- Degree of Crystallinity
Thermophysical Properties
- 비열(Specific Heat)
PET 수지내 Carbon black 함량 분석
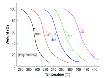
경화온도에 따른 에폭시 열분해 온도 변화
열안전성분석 (Thermal Stability) 산화 안정성 분석 (Oxidative Stability) 복합재료의 구성성분 분석 (Composition) 응용제품의 수명 평가 (Estimated Lifetime) 열분해 반응속도 분석(Decomposition Kinetics) 고분자 수지 및 중간재의 휘발성 성분 함량 분석 (Volatilization Composition)
CF SMC
Using of Lab Press
10KN 실증 압력조건에서의 탄소섬유 SMC의 경화거동 모니터링
ASTM D5035(Standard Test Method for Breaking Force and Elongation of Textile Fabrics(Strip Method))
- Gauge length: 75 ± 1mm
- Test rate : 300 ± 10 mm/min
(파단 시간이 20 ± 3s일 때의 속도)
ASTM D5034(Standard Test method for Breaking Strength and Elongation of Texttile Fabrics(GrabTest))
- Gauge length: 75 ± 1mm
- Test rate : 300 ± 10 mm/min
(파단 시간이 20 ± 3s일 때의 속도)
FRP Smoke density
Test report
탄소섬유의 특성평가
- Hydrophilic
- Hydrophobic
탄소섬유 surface free energy분석
- 탄소섬유 표면의 극성요소 분석
- 탄소섬유 표면의 비극성 요소 분석
탄소섬유와 수지간 Work of adhesion 분석을 통한 이론적 계면 결합력 예측
탄소나노필러의 특성평가
- Hydrophilic
- Hydrophobic
탄소나노필러의 surface free energy분석
- 나노필러 표면의 극성요소 분석
- 나노필러 표면의 비극성 요소 분석
- 나노필러의 분산특성평가
탄소섬유와 수지간 Work of adhesion 분석을 통한 이론적 계면 결합력 예측
Washburn method에 의한 탄소나노튜브의 표면 자유에너지 분석 및 액체 내 분산특성 평가 A.Dresel, and U. Teipel, Colloids Surface A, 189, 6=57-66 (2016)
Washburn adsorption methods는 파우더 형태의 고체물질 특성을 평가하는 방법으로 파우더를 채운 실린더를 용액에 접액시켜 모세관 현상에 의해 흡착되는 용액의 중량의 값을 Washburn equation 에 적용 접촉각 및 표면 자유에너지 분석 즉, 파우더에 흡착, 흡수되는 용약의 시간에 따른 변화율(m2/t)의 값을 식에 대입하여 접촉각을 계산함.
Matrix의 특성평가
- Hydrophilic
- Hydrophobic
Matrix의 surface free energy 분석
- Matrix 표면의 극성요소 분석
- Matrix 표면의 비극성요소 분석
- 탄소소재와 Matrix의 이론적 계면결합력 예측
MaleicAnhydride 함량에 따른 Polypropylene의 젖음성 평가 및 표면자유에너지 분석
교체표면에 접촉한 액체의 접촉각의 액체-고체-기체 접합점에서 물방울 곡선의 끝점과 고체 표면의 접촉점에서 측정 낮은 접촉각 : 높은 젖음성 (친수성, Hydrophilic)과 높은 표면에너지 높은 접촉각 : 낮은 젖음성 (소수성, Hydrophovic)과 낮은 표면에너지
MWCNT paper
Carbon fibers
Carbon fibers-EDS
XRD patterns of graphene
carbon fibers
carbon fibers